Madrid lance un appel d’offres pour le premier terrain pour la construction de 6600 logements locatifs avec les promoteurs Ces parcelles de logement locatif sont situées dans 14 communes telles que Torrelodones, Getafe, Pinto, Móstoles, Colmenar Viejo ou Alcorcón.
La Communauté de Madrid a entamé ce lundi la procédure d’appel d’offres pour la concession des 46 premières parcelles du Plan Vive Madrid, dans le but de construire 15 000 logements locatifs dans la région à des prix abordables pendant cette législature. Ces parcelles, qui ont été publiées au Journal Officiel de la Communauté de Madrid (BOCM), sont situées dans 14 communes de la région et on estime qu’un maximum de 6646 logements y seront construits, avec un investissement total de 700 millions d’euros.
La Communauté de Madrid dispose de 1,2 million de mètres carrés répartis sur 43 communes de la région pour mener à bien cette opération.
Où sont les parcelles
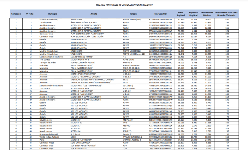
Les 46 parcelles qui font l’objet d’un appel d’offres dans cette première phase du Plan Vive ont été regroupées en quatre lots comprenant plusieurs municipalités.

Le lot 1 comprend 11 parcelles situées dans les communes de Madrid, Torrelodones, Alcalá de Henares, Colmenar Viejo et Getafe. Le lot 2 comprend 12 parcelles situées à Madrid, San Sebastián de los Reyes, Tres Cantos, Torrejón de Ardoz, Móstoles et Alcorcón. Le troisième des lots regroupe 12 autres parcelles situées à San Sebastián de los Reyes, Tres Cantos, Alcorcón, Alcalá de Henares et Getafe.
Et le quatrième et dernier lot, rassemble 11 parcelles situées dans les communes de Navalcarnero, Humanes de Madrid, Velilla de San Antonio, Pinto et Colmenar Viejo. Ces parcelles seront attribuées par le biais de concessions administratives du domaine public à des tiers, qui exerceront l’activité de promotion de ces logements en location.
Différents groupes pour 25000 maisons L’objectif du Plan Vive Madrid est de mettre jusqu’à 25 000 logements sur le marché locatif au cours des 8 prochaines années, dont 15 000 pendant la législature actuelle. Ainsi, l’accès au logement sera facilité pour différents groupes, tels que les jeunes de moins de 35 ans, les familles nombreuses et les personnes handicapées, tout en contribuant à augmenter l’offre sur le marché locatif de Madrid avec des prix nettement inférieurs aux prix du marché.
Création d’emplois
Le ministre du Logement et de l’Administration locale, David Pérez, a souligné que «Plan Vive générera 57 000 emplois par an pendant la construction et l’exploitation des maisons, ce qui aura un impact économique et social important dans la région, ce qui contribuera à surmonter la crise économique engendrée par la pandémie COVID-19. De même, il mobilisera plus de 700 millions d’euros d’investissements ». Pérez a détaillé qu’il est estimé que le Plan Vive Madrid bénéficiera à 17000 locataires chaque année, avec une économie annuelle sur le loyer moyen du marché de 19 millions d’euros et avec un impact sur le PIB régional, tout au long de la période de concession de 4 428 millions d’euros, en plus de générer 719 millions sur les différents impôts.
La possession «Nous sommes confrontés à un projet à grande échelle qui équivaut à plus d’un tiers de toute la production annuelle du secteur immobilier en logements neufs dans la Communauté de Madrid». Poursuivant les comparaisons, cela équivaut aux deux tiers de tous les logements qui seront promus à Madrid Nuevo Norte.
Les sols de ces parcelles sont la propriété de la Communauté de Madrid, car ils font partie des réseaux supra-municipaux, et avec l’ouverture de la procédure d’appel d’offres, les conditions particulières et les prescriptions techniques qui doivent régir l’ensemble du processus sont approuvées. Ils seront publiés au moyen d’une annonce dans le profil d’embauche de l’administration, via le portail des marchés publics de la Communauté de Madrid.
Source Brainsre.news